| عنوان خدمت: |
|
درخواست طراحی دشبورد | |
| نوع خدمت: |
|
خدمت به کسب و کار (G2B) | |
|
شرح خدمت: |
|
به منظور بررسی و تحلیل اطلاعات بخش های مختلف دانشگاه براساس شاخص های مربوطه و تصمیم گیری های مدیریتی، دشبورد هایی در بستر نرم افزار تبلو قابل طراحی و پیاده سازی می باشند.جهت پیاده سازی دشبورد با سرعت پاسخ دهی بالا، ساختار داده ها در بستر BI تحلیل و ایجاد می گردد.
|
|
|
مدارک موردنیاز: |
|
ارسال نامه اتوماسيون درخواست طراحی دشبورد به مديريت فناوري اطلاعات و اعلام موارد زیر
|
|
|
جزئیات خدمت |
|
||
|
متوسط زمان ارایه خدمت: |
بعد از امکان سنجی دشبورد درخواستی، تحلیل و ایجاد ساختار داده و استخراج داده ها در دیتامارت های مربوطه، یک هفته |
||
|
ساعات ارائه خدمت: |
ساعات اداری | ||
| تعداد بار مراجعه حضوری: | |||
| هزینه ارائه خدمت: | رایگان | ||
| نحوه دسترسی به خدمت: |
با استفاده از پورتال یکپارچه ی مدیریت فناوری اطلاعات و یا هر بستری که درخواست کننده نیاز دارد و امکان پذیر برای نمایش دشبورد هاست. |
||
|
|
|
||
|
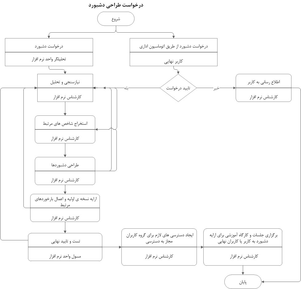
نمودار مراحل دریافت خدمت/زیرخدمت |
|||


